Kateqoriya:
Dövlət əmlakı
Lotun adı:
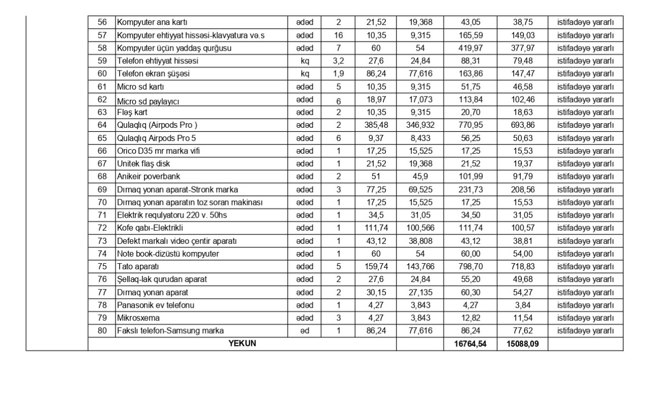
Gömrük malları (elektronika malları)
Ətraflı məlumat:
Elektronika malları
Lotun yeri:
"AZƏRTERMİNALKOMPLEKS" Birliyinin Naxçıvan Ərazi İdarəsinin saxlanc anbarı
Əlaqəli şəxs:
Məmməd Cəfərov (077) 357 12 58
Balans saxlayıcı:
Azərbaycan Respublikası Dövlət Gömrük Komitəsinin "AZƏRTERMİNALKOMPLEKS" Birliyi
Cari qiymət:
15088.09 azn
Başlanğıc qiymət:
16764.54 azn
Beh faizi:
5 %
Hərrac addımı:
1 %
Müraciət üçün son tarix
Cari qiymət:
15088.09 azn
Son müraciət tarixi:
19.05.2026
Lot status:
Aktiv lot
Beh:
754.4045 azn
Hərrac tarixi:
25.05.2026
Hərrac növü:
Auksion
Qeyd:
Əmlak üçüncü hərraca çıxarılır və ilkin start qiymətindən 10% aşağı qıymətə təklif olunur.

